应用案例
浏览量:797点击蓝字
关注我们FOLLOW US



摘要
微型底栖生物在河口生态系统中发挥着重要的作用。虽然滩涂底栖微藻(MPB)被广泛研究,但由于人们普遍认为红树林树冠下的光照有限不利于MPB的生长,红树林MPB经常被忽视。通过评估比对两种红树林中MPB的生物量和群落特征,它们的季节性光合作用,以及它们在调节孔隙水碳通量中的作用发现,以叶绿素a的浓度测量值表示生物量,表明红树林中的MPB丰度即使不是更高,也与滩涂上的相同。虽然红树林沉积物培养了与邻近滩涂同样丰富的MPB群落(估计有23至45属),但MPB属的组成在所有栖息地、地点和季节都不同,这表明环境对MPB群落有着很大的影响。本研究表明孔隙水盐度、温度和pH值,以及光照水平和地表土壤温度占这一变化的23.5%。所有采样地点的MPB都以三角藻硅藻为主。与滩涂MPB相比,红树林MPB表现出较低光适应的光合性能特征。利用富集的碳、氮稳定同位素进行的中尺度实验表明,红树林衍生的碳和MPB之间存在紧密耦合。
样品采集
样本采集和野外原位测量在香港的两处红树林进行。香港受亚热带季风气候影响,夏季和冬季的气温差异很大。从香港的米埔自然保护区(MP)和汀角湿地(TK)收集MPB,用于测定生物量(以叶绿素a浓度为指标)、分类丰富度和组成。在夏季(2021年6月至9月)进行了九次采样,从每个地点(即TK红树林、TK滩涂、MP红树林、MP滩涂)采集了十个样本;在冬季(2021年12月至2022年3月)进行了五次采样,也采集了同样的样本。然而,实际重复次数通常少于10次,因为MPB的回收率在某些样品中低于预期,这些样品被从分析中剔除。
实验方法
从TK的红树林中收集沉积物,干燥后使沉积物通过1mm的筛网,以获得均匀的沉积物并排除大型底栖生物。筛过的沉积物转移至塑料容器(71 cm×54 cm×38 cm)中,填充到约15 cm的深度。该容器的侧面分别设有入口和出口,由计时器控制,以半日潮汐循环,形成模拟野外红树林条件的潮汐过程。中尺度实验是在一个几乎没有干扰的室外区域建立的。水源为淡水和从吐露港抽取的海水混合而成。将盐度维持在约10以促进胚轴的生长。遵循析因设计,即富集(是/否)×幼苗密度(高/低)×富集时间(即一个月内每10天一次),在潮汐中尺度中种植秋茄幼苗的胚轴。每种处理的富集度和幼苗密度分别有三个重复。在富集时间内对每个中尺度重复取样。幼苗密度包括两个水平,即每个中尺度有四到八个幼苗。当胚轴生长到具有三片或三片以上完全展开的叶片的幼苗时,开始富集实验。该实验旨在通过使用同位素标记的示踪剂来测试红树林幼苗和MPB之间是否发生了C和N的显著耦合。用富集的C和N稳定同位素对红树林幼苗进行标记。通过溶解250mg 99atom%13C和5mg 98atom%15N尿素制备97atom%15C和2atom%15N脲溶液在125毫升MilliQ水中的溶液。为了促进富含C和N的溶液与幼苗叶片的接触,添加了30µl润湿剂。对于对照溶液,255 mg未富集尿素溶于125 ml MilliQ水中,加入30µl润湿剂。每天用刷子将少量富集和未富集尿素溶液分别涂抹在配对处理中。
样品分析
从中尺度采集叶片、根系、沉积物和孔隙水样本,每10天取样一次。在低潮期,用剪刀从幼苗上剪下少量的叶子和根。用一把小铲子收集表层沉积物。使用50 ml注射器收集孔隙水样品,然后将其储存在40ml高密度聚乙烯玻璃瓶中,在450°C下预燃烧三小时,并加入HgCl2溶液。返回实验室后,用Milli-Q纯水冲洗根部,以去除表面的沉积物。将叶、根和少量沉积物在60°C下干燥,直到重量不变。按照前面描述的方法将MPB与其余沉积物分离。它们的C和N含量、δ13C和δ15N通过EuroVector元素分析仪-Nu Perspective IRMS测量,并使用iACET标准进行质量控制检查。孔隙水中溶解无机碳(DIC)的δ13C分析:使40ml孔隙水通过玻璃纤维过滤器(Whatman GF/F过滤器,0.7mm孔径,47mm直径),通过岛津TOC分析仪测量孔隙水DIC和总氮(N)浓度;向小瓶注入N2气以置换10ml孔隙水并产生10ml顶部空间,然后通过进样针向小瓶注入2ml磷酸(>99%纯度),将样品混合并在4°C下保存一晚,抽取小瓶中的头部空间空气样本,并通过Picarro G2201-i碳同位素分析仪测量δ13C-CO2。
数据分析

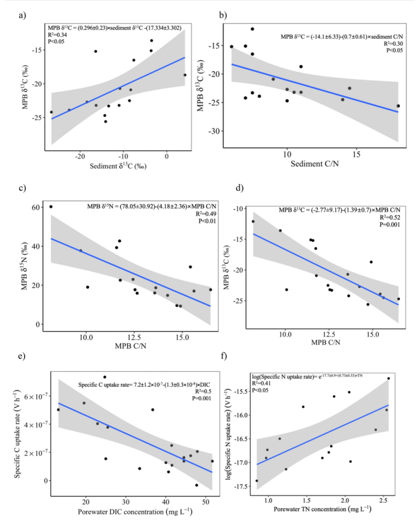
上图表示MPB的δ13C、δ15N、Vc和VN与孔隙水或沉积物性质之间的关系。TN表示总N。阴影区域表示回归关系的9%置信区间。

上图表示MPB的δ13C与孔隙水DIC浓度和DIC-δ13C的关系。
中尺度实验的结果表明存在通过叶根孔隙水MPB连续体获取MPB养分的流动路径,而微生物DOM分解为溶解性营养物质可能存在,这一过程主要发生在孔隙水中。叶片、根系、孔隙水和MPB的δ13C和/或δ15N值均为在富含13C-和15N-的中尺度中高于未富含的中尺度。在富集的中尺度中,只有红树林叶片直接富集了13C和15N。因此,其他成分(包括根、孔隙水和MPB)只能通过叶根孔隙水MPB连续体富集13C-和15N-。
此外,MPB的δ13C和/或δ15N值与孔隙水的DIC浓度和δ13C值密切负相关。在中尺度中,MPB的利用沉积物孔隙水DIC的减少导致DIC浓度降低,从而降低孔隙水DIC的δ13C。当MPB的δ13C值较高时,DIC的δ13C值也较高,反之亦然。MPB的δ13C和δ15N值也与MPB C/N密切负相关,来自较高DIC的同化,这可能会降低MPB对无机C的亲和力,并降低CO2浓缩机制的表达,随后导致较低的MPBδ13C值。在局部DIC浓度较高且同时缺乏CO2浓缩机制的河口,也观察到较高的MPBδ13C值。本研究结果表明,MPB的N吸收率与孔隙水TN浓度呈正相关,藻类吸收可占MPB溶解有机氮吸收的约55%至90%,无机氮(即氨)是比有机氮更优选的氮源。当铵浓度最高时,MPB在沉积物表面大量含有溶解的无机氮。此外,MPB的δ13C值与沉积物C/N呈负相关。藻类对溶解有机氮的吸收可能在沉积物的透光区占主导地位。沉积物N的同化也伴随着沉积物C的同化。
总结和结论
1
红树林MPB的丰富性
研究发现,红树林中的微型底栖植物群落(MPB)生物量与相邻的滩涂相当,甚至在某些情况下更高,这反驳了红树林下光限制环境不利于MPB生长的普遍观点。
2
季节性变化
MPB群落的属种丰富度在不同季节有所变化,冬季的属种丰富度高于夏季,表明季节性因素对MPB群落结构有显著影响。
3
生态作用
红树林MPB在营养循环中扮演着重要的角色,它们与红树林衍生的碳和氮之间存在紧密的耦合,这一过程通过叶-根-孔隙水-MPB连续体进行。
4
碳循环的新视角
本研究提出了一个新的关于MPB如何通过红树林衍生的营养物质获取碳和氮的途径,这对全球概念模型中关于红树林中碳和氮循环的理解提供了新的视角。
5
科学和环境管理的意义
红树林MPB作为一个重要的功能群落,应当被纳入红树林生态系统的管理和保护策略中。
6
未来研究方向
尽管本研究提供了关于红树林MPB的重要见解,但在自然环境中MPB对碳和氮循环的具体贡献还需要进一步的实地实验来验证。
相关仪器

- END -

地址:北京市海淀区人民大学北路33号院大行基业1号楼11层1107-1108
电话:010-62081908,010-62081909
手机:18094238319
邮箱:info@cen-sun.com
网址:http://www.cen-sun.com/